0
Skip to Content
The Archives of Nereida García-Ferraz
The Archives
1980-1986
Overview
Grupo 12 1985
Chicago Collection 1980
Chicago and Vecinity 1984
Union League Club of Chicago 1985
Noises in the Night 1986
Showing Off 1986
Minneapolis Winter Spring Events
NEA 1985
Picture Cuba
1987-1990
Overview
The Illinois Art Council Fellowship 1987
Ana Mendieta Fuego de Tierra
Fantastic Colors 1987
Latina Art Showcase 1987
Chicago Women Caucus for Art 1987
Urban traditions 1987
Nuestras Imagenes 1987
Somos del Caribe 1987
Urgent Messages 1987
7 Artistas de Chicago en México 1987
Chicago Artist Abroad Grant Recipients 1988
Adivina 1988
Illinois Art Council Grant 1988
Emergence 1988
National Latino Film and Video Festival 1988
Catania Solo Exhibition 1989
NEA 1989
Paintings and Drawings by NGF 1989
Paisajes de Ida y Vuelta Museo Chopo 1990
Women of Color 1990
Visiones de una Mujer 1990
Spirits in the Material World 1990
Solo Exhibition at Deson-Saunders 1990
1991-1993
Overview
Cuba-USA First Generation 1991
Dedicado a quien sabe esperar 1992
FOCI - Forms of Contemporary Arts 1991
Gertrude Abercrombie and Nereyda Garcia-Ferraz 1991
Outspoken Women Minneapolis 1991
In the Heart of the Country 1991
Personal Prophecies 1991
Spirited Visions 1991
Uncommon Ground 1992
Dreams and Demons 1992
In Plural America 1992
Paintings and Drawings - The Wabash College 1992
Santeria Aesthetics in Contemporary Hispanlc Art 1992
Los Encuentros 1992
The Absolut Book - Absolute Nereyda
Art Miami 1993
Thick & Thin 1993
Caminos Revelatorios 1993
Traces of Memory 1993
1994-1996
Overview
Art in Chicago 1994
El Herald 1994
Food and Water 1994
Alter Nations 1994
Fotofest Brochure 1994
Cubana 1994
Bridges to Cuba Book Cover 1994
Bradley University 1995
Dialogue of Identity 1995
Teaching at SAIC 1995
La Mano Viva 1995
Pensando en Cuba en Femenino
Mujeres de pelo en pecho 1995
Taller Universidad de la Habana 1995
Transitional Identities 1995
Chicago Tribune 1996
1997-2000
Overview
Jury for NEFA 1996
Passenger 1997
Cubanísimas Near and Far 2000
Recent Works by Nereida Garcia-Ferraz MACLA 1999
The Archives of Nereida García-Ferraz
The Archives
1980-1986
Overview
Grupo 12 1985
Chicago Collection 1980
Chicago and Vecinity 1984
Union League Club of Chicago 1985
Noises in the Night 1986
Showing Off 1986
Minneapolis Winter Spring Events
NEA 1985
Picture Cuba
1987-1990
Overview
The Illinois Art Council Fellowship 1987
Ana Mendieta Fuego de Tierra
Fantastic Colors 1987
Latina Art Showcase 1987
Chicago Women Caucus for Art 1987
Urban traditions 1987
Nuestras Imagenes 1987
Somos del Caribe 1987
Urgent Messages 1987
7 Artistas de Chicago en México 1987
Chicago Artist Abroad Grant Recipients 1988
Adivina 1988
Illinois Art Council Grant 1988
Emergence 1988
National Latino Film and Video Festival 1988
Catania Solo Exhibition 1989
NEA 1989
Paintings and Drawings by NGF 1989
Paisajes de Ida y Vuelta Museo Chopo 1990
Women of Color 1990
Visiones de una Mujer 1990
Spirits in the Material World 1990
Solo Exhibition at Deson-Saunders 1990
1991-1993
Overview
Cuba-USA First Generation 1991
Dedicado a quien sabe esperar 1992
FOCI - Forms of Contemporary Arts 1991
Gertrude Abercrombie and Nereyda Garcia-Ferraz 1991
Outspoken Women Minneapolis 1991
In the Heart of the Country 1991
Personal Prophecies 1991
Spirited Visions 1991
Uncommon Ground 1992
Dreams and Demons 1992
In Plural America 1992
Paintings and Drawings - The Wabash College 1992
Santeria Aesthetics in Contemporary Hispanlc Art 1992
Los Encuentros 1992
The Absolut Book - Absolute Nereyda
Art Miami 1993
Thick & Thin 1993
Caminos Revelatorios 1993
Traces of Memory 1993
1994-1996
Overview
Art in Chicago 1994
El Herald 1994
Food and Water 1994
Alter Nations 1994
Fotofest Brochure 1994
Cubana 1994
Bridges to Cuba Book Cover 1994
Bradley University 1995
Dialogue of Identity 1995
Teaching at SAIC 1995
La Mano Viva 1995
Pensando en Cuba en Femenino
Mujeres de pelo en pecho 1995
Taller Universidad de la Habana 1995
Transitional Identities 1995
Chicago Tribune 1996
1997-2000
Overview
Jury for NEFA 1996
Passenger 1997
Cubanísimas Near and Far 2000
Recent Works by Nereida Garcia-Ferraz MACLA 1999
The Archives
Folder: 1980-1986
Back
Overview
Grupo 12 1985
Chicago Collection 1980
Chicago and Vecinity 1984
Union League Club of Chicago 1985
Noises in the Night 1986
Showing Off 1986
Minneapolis Winter Spring Events
NEA 1985
Picture Cuba
Folder: 1987-1990
Back
Overview
The Illinois Art Council Fellowship 1987
Ana Mendieta Fuego de Tierra
Fantastic Colors 1987
Latina Art Showcase 1987
Chicago Women Caucus for Art 1987
Urban traditions 1987
Nuestras Imagenes 1987
Somos del Caribe 1987
Urgent Messages 1987
7 Artistas de Chicago en México 1987
Chicago Artist Abroad Grant Recipients 1988
Adivina 1988
Illinois Art Council Grant 1988
Emergence 1988
National Latino Film and Video Festival 1988
Catania Solo Exhibition 1989
NEA 1989
Paintings and Drawings by NGF 1989
Paisajes de Ida y Vuelta Museo Chopo 1990
Women of Color 1990
Visiones de una Mujer 1990
Spirits in the Material World 1990
Solo Exhibition at Deson-Saunders 1990
Folder: 1991-1993
Back
Overview
Cuba-USA First Generation 1991
Dedicado a quien sabe esperar 1992
FOCI - Forms of Contemporary Arts 1991
Gertrude Abercrombie and Nereyda Garcia-Ferraz 1991
Outspoken Women Minneapolis 1991
In the Heart of the Country 1991
Personal Prophecies 1991
Spirited Visions 1991
Uncommon Ground 1992
Dreams and Demons 1992
In Plural America 1992
Paintings and Drawings - The Wabash College 1992
Santeria Aesthetics in Contemporary Hispanlc Art 1992
Los Encuentros 1992
The Absolut Book - Absolute Nereyda
Art Miami 1993
Thick & Thin 1993
Caminos Revelatorios 1993
Traces of Memory 1993
Folder: 1994-1996
Back
Overview
Art in Chicago 1994
El Herald 1994
Food and Water 1994
Alter Nations 1994
Fotofest Brochure 1994
Cubana 1994
Bridges to Cuba Book Cover 1994
Bradley University 1995
Dialogue of Identity 1995
Teaching at SAIC 1995
La Mano Viva 1995
Pensando en Cuba en Femenino
Mujeres de pelo en pecho 1995
Taller Universidad de la Habana 1995
Transitional Identities 1995
Chicago Tribune 1996
Folder: 1997-2000
Back
Overview
Jury for NEFA 1996
Passenger 1997
Cubanísimas Near and Far 2000
Recent Works by Nereida Garcia-Ferraz MACLA 1999
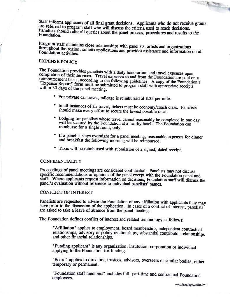
Letter for the panelists of the New England Foundation for the Arts 1996

Letter for the panelists of the New England Foundation for the Arts 1996

1723669825053-b4cd0901-d81b-4c14-9489-fbefe7bc193a_1.jpg
1723669824936-7614e61e-704f-46be-adf9-a69c30b28e27_1.jpg

nerig@aol.com